サブバナ―背景画像

ポリイミド樹脂について

ポリイミド樹脂とは?

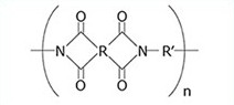
ポリイミド樹脂の構造

図1 ポリイミド樹脂の構造

ポリイミド樹脂(Polyimide Resin: PIと略)は、分子鎖内にイミド環結合(図1)を含む高分子化合物で、特にこのRが芳香族となる芳香族ポリイミドが工業的に工業的に広く使われています。1960年代に米国デュポン社が「カプトン®」というフィルム製品として実用化したのが始まりです。

主な特徴

耐熱性

-196℃から300℃の温度範囲で物性変化が少なく、熱分解温度は500℃以上。極めて高温でも物性が安定。

電気絶縁性

誘電率や体積固有抵抗が広い温度範囲で安定。

耐薬品性

多くの有機溶媒や酸・アルカリに対して高い耐性。

機械強度

引張強さ・弾性率が高く、寸法安定性にも優れる。

難燃性

自己消火性があり、燃えにくい。

低アウトガス性

真空環境でもガス放出が少ないため、宇宙用途にも適する。

種類と分類

熱硬化性ポリイミド 高Tg(ガラス転移温度)で、コーティングやフィルム基材に使用
熱可塑性ポリイミド 加熱成形が可能。機械部品や産業機器に使用
可溶性ポリイミド 有機溶媒に溶けやすく、加工性が高い
非熱可塑性ポリイミド 最も一般的。耐熱・耐薬品性に優れ、輸送機器などに使用

主な用途

電子機器

フレキシブルプリント基板(FPC)、半導体の絶縁膜、モーターコイル、電線など

ディスプレイ

液晶の配向膜、有機ELの画素分離膜

自動車・航空宇宙

機構部品、絶縁保護フィルム、人工衛星の耐熱材

半導体製造装置

切削加工用素材、再配線層、バッファーコーティング

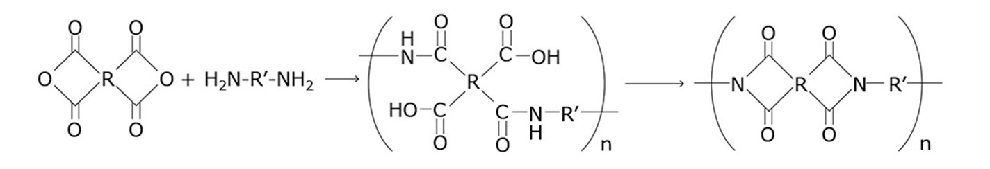
ポリイミド樹脂の合成方法

二段法(ポリアミド酸経由法)— 最も一般的な方法

第1段階:ポリアミド酸の合成
  • 原料

    芳香族ジアミン(例:ODA)と芳香族テトラカルボン酸二無水物(例:PMDA)

  • 反応

    非プロトン性極性溶媒(NMP, DMAcなど)中で、室温下で開環付加反応を行い、ポリアミド酸を生成

  • 特徴

    高分子量のポリアミド酸が得られ、加工性が高い

第2段階:イミド化(脱水環化反応)
  • 方法

    ■ 加熱イミド化:250〜300℃で加熱し、脱水環化反応によりイミド環を形成
    ■ 化学的イミド化:脱水剤(アセチル化剤など)を用いて常温〜中温で反応

  • 生成物

    高耐熱性のポリイミド樹脂
    この方法は、代表的なポリイミドフィルム「カプトン®」の製造にも使われています。

    ポリイミドの2段合成法(ポリアミック酸経由法)

    図2 ポリイミドの2段合成法(ポリアミック酸経由法)

一段法(直接イミド化法)

  • 概要

    ジアミンと酸無水物を高沸点溶媒中で直接反応させ、ポリイミドを一気に合成

  • 利点

    工程が短く、反応時間が短縮される

  • 課題
    ポリイミドの一段合成法(直接イミド化法)

    高分子量の制御が難しく、反応条件が厳しい
    図3 ポリイミドの一段合成法(直接イミド化法)

三段法(ポリアミド酸塩経由)

  • 概要

    ポリアミド酸を塩化し、さらに脱水環化してポリイミドを得る

  • 特徴

    分子構造の制御がしやすく、特定用途向けに設計可能

蒸着法(Vapor Deposition)

  • 用途

    超薄膜ポリイミドの形成(MEMSや半導体用途)

  • 方法

    モノマーを蒸気状態で反応させ、基板上にポリイミド膜を形成

合成に使われる代表的な原料
PMDA ピロメリット酸二無水物
高耐熱性ポリイミド(Kapton®)
ODA オキシジアニリン
柔軟性と加工性の向上
BPDA ビフェニルテトラカルボン酸二無水物
高弾性ポリイミド(Upilex®)
PDA パラフェニレンジアミン
剛性の高い構造
 ポリマーのカテゴリ・ピラミッド

図4 ポリマーのカテゴリ・ピラミッド