Monomer
Ester-Type Diamine Compound 『PHBAAB』
Innovative Key Material for Next-Generation High-Frequency Devices Our company has developed an ester-type diamine compound, PHBAAB, designed to enhance hea...
Ester-Type Diamine Compound 『TBBAAB』
Ester-type aromatic diamine with tert-butyl substitution at 2-position High Tg due to rigid aromatic backbone Improved thermoplasticity and processability ...
New Ester-Based Dianhydride: TADBHQ
Our newly developed ester-based dianhydride TADBHQ features an aromatic ester structure at the center of the main chain, which effectively suppresses charge-...
Ester-Type Diamine Compound "BPMAN"
BPMAN is an ether-type aromatic diamine designed for high-performance polyimides and poly(ester-imide) materials. Its unique structure combines a rigid aroma...
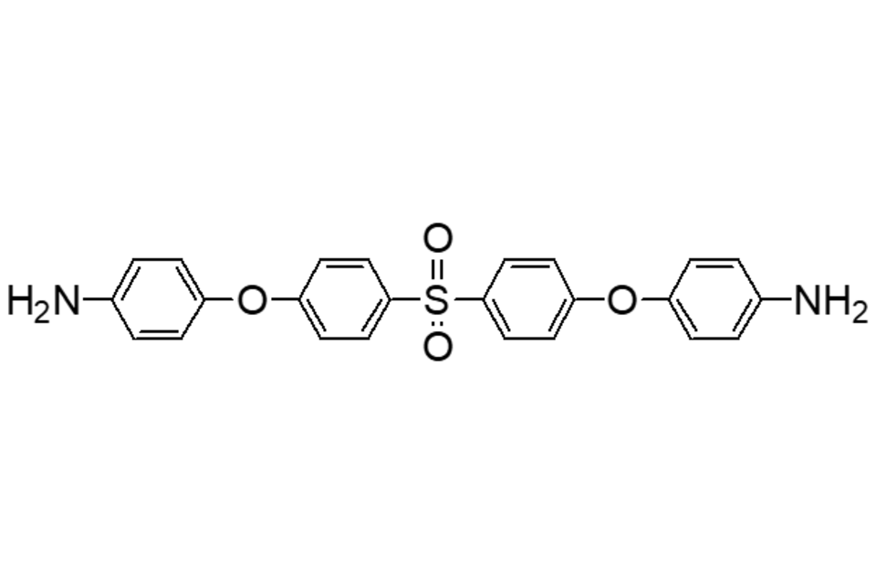
BAPS
Bis [4-(4-aminophenoxy)phenyl]sulfone Category:Diamine C₁₉H₁₆N₂O₂ Mw: 304.35 CAS NO. 13080-89-2
EBPA
4,4'-(Ethyne-1,2-diyl)diphthalic Anhydride Category:Acid anhydride C₁₈H₆O₆ Mw: 318.24 CAS NO. 129808-00-0
ODPA
4,4'-Oxydiphthalic Anhydride Category:Acid anhydride C₁₆H₆O₇ Mw: 310.22 CAS NO. 1823-59-2