Background Image

About Polyimide Resin

What is Polyimide Resin?

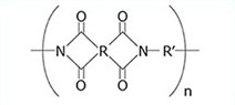
Figure 1. Structure of Polyimide Resin

Polyimide resin (abbreviated as PI) is a polymer compound that contains imide ring bonds within its molecular chains (Figure 1). Among them, aromatic polyimides—where the R group is aromatic—are widely used industrially. The first practical application began in the 1960s, when DuPont in the United States commercialized it as a film product under the brand name Kapton®.

Key Features

Heat Resistance

Exhibits minimal changes in physical properties over a temperature range of -196 °C to 300 °C, with a thermal decomposition temperature exceeding 500 °C. Physical properties remain stable even at extremely high temperatures.

Electrical Insulation

Dielectric constant and volume resistivity remain stable across a wide temperature range.

Chemical Resistance

Highly resistant to many organic solvents, acids, and alkalis.

Mechanical Strength

High tensile strength and modulus, with excellent dimensional stability.

Flame Retardancy

Self-extinguishing and difficult to ignite.

Low Outgassing

Releases minimal gas even in vacuum environments, making it suitable for space applications.

Types and Classification

Thermosetting Polyimide High Tg (glass transition temperature); used for coatings and film substrates
Thermoplastic Polyimide Can be heat-molded; used in mechanical parts and industrial equipment
Soluble Polyimide Highly soluble in organic solvents and easy to process
Non-Thermoplastic Polyimide Most common type; excellent heat and chemical resistance, used in transportation equipment

Main Applications

Electronics

Flexible printed circuits (FPC), semiconductor insulating films, motor coils, wires, etc.

Displays

Liquid crystal alignment films, organic EL pixel separation films

Automotive & Aerospace

Mechanical components, insulating protective films, heat-resistant materials for satellites

Semiconductor Manufacturing Equipment

Materials for machining, redistribution layers, buffer coatings

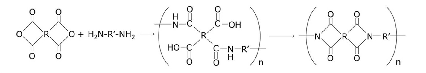
Synthesis Methods of Polyimide Resins

Two-Step Method (via Polyamic Acid) — Most Common Approach

Step 1: Synthesis of Polyamic Acid
  • Raw Materials

    Aromatic diamines (e.g., ODA) and aromatic tetracarboxylic acid dianhydrides (e.g., PMDA)

  • Reaction

    Conducted at room temperature in a non-protic polar solvent (such as NMP or DMAc) through a ring-opening addition reaction to produce polyamic acid

  • Features

    Produces high-molecular-weight polyamic acid with excellent processability

Step 2: Imidization (Dehydration Cyclization Reaction)
  • Methods

    ■ Thermal Imidization: Heat at 250–300 °C to form imide rings through a dehydration cyclization reaction
    ■ Chemical Imidization: Use dehydrating agents (e.g., acylating agents) to carry out the reaction at room to moderate temperatures

  • Product

    High heat-resistant polyimide resin
    This method is also used in the production of representative polyimide films, such as Kapton®.

    Figure 2. Two-Step Synthesis of Polyimide (via Polyamic Acid)

One-Step Method (Direct Imidization)

  • Overview

    Polyimide is synthesized in a single step by directly reacting diamines with dianhydrides in a high-boiling-point solvent.

  • Advantages

    Shorter process and reduced reaction time

  • Challenges

    Difficult to control high molecular weight; reaction conditions are strict
    Figure 3. One-Step Synthesis of Polyimide (Direct Imidization)

Three-Step Method (via Polyamic Acid Salt)

  • Overview

    Polyamic acid is converted to its salt, followed by dehydration cyclization to obtain polyimide.

  • Features

    Easier control of molecular structure, allowing design for specific applications

Vapor Deposition Method

  • Applications

    Formation of ultra-thin polyimide films (for MEMS and semiconductor applications)

  • Method

    Monomers are reacted in the vapor phase to form a polyimide film on the substrate

Representative Raw Materials Used in Synthesis
PMDA Pyromellitic dianhydride
High heat-resistant polyimide (Kapton®)
ODA Oxydianiline
Improves flexibility and processability
BPDA Biphenyl tetracarboxylic dianhydride
High-elasticity polyimide (Upilex®)
PDA p-Phenylenediamine
Provides a rigid structure

Figure 4. Polymer Categories Pyramid